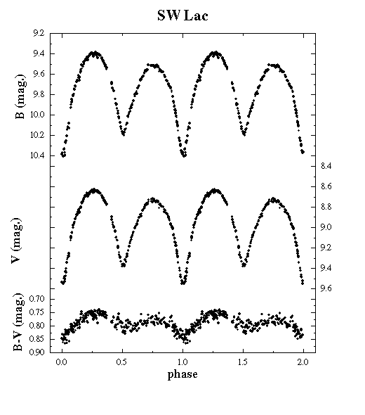
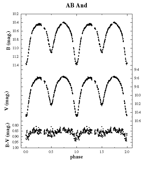
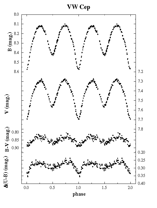
Sample photoelectric light curves for SW Lac, AB And and VW Cep (measurements from September, 1997)